HASTA ADAM OSMANLI BAKİYESİ TÜRKİYE KOMADA
Yerli ve yabancı kapital sahipleri tüm parasını yüksek faiz almak için piyasadan çekti.

ANKARA - HASTA ADAM OSMANLI BAKİYESİ TÜRKİYE KOMADA
ACİL OKUYALIM ve OKUTALIM
TÜRKİYE CUMHURİYETİ VATANDAŞI OLAN HERKESİN DİKKATİNE!!
Bu yazı benim sonum veya son yazım olabilir!
Faiz oranlarının çok yüksek olması ne anlama geliyor? Ülkenin net olarak satılması demektir.
Faiz oranlarının yükselmesi ile yerli ve yabancı kapital sahipleri tüm parasını yüksek faiz almak için piyasadan çekti ve bankalara yatırdı. İmkânı olanlar, yurt dışından düşük faizli kredi çekerek Türkiye’de yüksek faiz almanın telaşına girdi. Merkez bankası döviz rezervini yükseltebilmek adına yüksek faiz ekonomisine geçtiği tam bir safsata ve yalandan ibarettir, kandırmacadır, intihardır.
Dış ticaret açığını kapatmak için kurulan bu tuzak, ülkemizin tüm kaynaklarının kısa sürede tüketilerek, milletimizi uçurumdan aşağı atmaktır. AK PARTİ Hükümetinin iktidara geldiği ilk yıllarda düşük faizle ABD’den gelen sıcak paranın etkisi ile ülkemiz geçici olarak yüksek bir refaha kavuşmuştu. O dönem devletimiz başta olmak üzere tüm kamu kurum kuruluşlar, belediyeler, sivil toplum kuruluşları dâhil, şirketler ve şahıslar eline geçen bu imkânı katma değerli üretim yapmak yerine lüks ve konforlu bir hayat yaşamayı tercih etmiş, üstelik uzun soluklu borçlanmayı da ihmal etmemişti.
AK Parti hükümeti ülkeyi zenginleştirmeye çalışırken nerede hata yaptı ve ekonomiyi neden eline yüzüne bulaştırdı? AK Parti hükümeti, adeta iflas etmek üzere olan bir iş adamı zihniyeti ile çıkış yolları ararken, eşit gelir dağılımını sağlayarak tüm vatandaşlarımızın refahını yükseltmek yerine, kendi yandaşlarını ve kitlesini zenginleştirmeye yönelik yaptığı çalışmalar ile farkında olmadan yerli ve milli vahşi kapitalist para baronları, para canavarları yarattı. Bu canavarlar o kadar büyüdü, o kadar büyüdü ki ülkenin siyasetini yönetmeye başladı.
AK Parti hükümetinin ilk zamanlarında pompaladığı sanal ekonomik gelişmeler ile refah ve bereket içinde yaşayacağı hayaline kapılan toplum, Sayın ERDOĞAN’a sonsuz bir güvenle sarıldı ve sahip çıktı. Bu güven tüm olumsuz gelişmelere rağmen hala dimdik ayakta, bu durumun farkında olan yerli ve milli kapitalist aktörler Sayın ERDOĞAN’ı da apaçık kontrolü altına almış görünüyor. Hiçbir şey üretmediği halde, beton demir çimento ekonomisi ile ayakta kalması imkânsız olan bir ülkenin, yüksek faizler ile tamamen duran sanayisi ile kalkınmasını beklemek aptallıktan öte ihanettir.
Aşırı lüks ve konfora alışan milletimizin bir kısmı padişahlar, sultanlar ve şehzadeler gibi hayat sürerken, bir kısmı ise gayrimeşru ve ahlaksızlıklar üzerinden hayatta kalma mücadelesi verenlerle doldu. Orta ve alt sınıf iş adamı ve esnaflar vergiden sigortadan KDV’den, kaliteden, kilodan çalmayı, borç takmayı adeta normalleştirirken, diğer taraftan milyonlarca yardıma muhtaç hale getirilen kadrolu seçmenler!
Anlaşılan o ki, cennet vatanımız, canım ülkemiz, aziz milletimiz büyük bir krizin içine girmiş gözüküyor. Artık uçurumun kenarında değiliz, uçurumun ucunda da değiliz, yamaçtan aşağı paldır küldür yuvarlanıyoruz ve önümüzde dik bir uçurum var, durdurmak neredeyse imkânsız, tek kurtuluş şansımız var, bir an önce uyanıp paraşütleri açmamız gerekiyor!
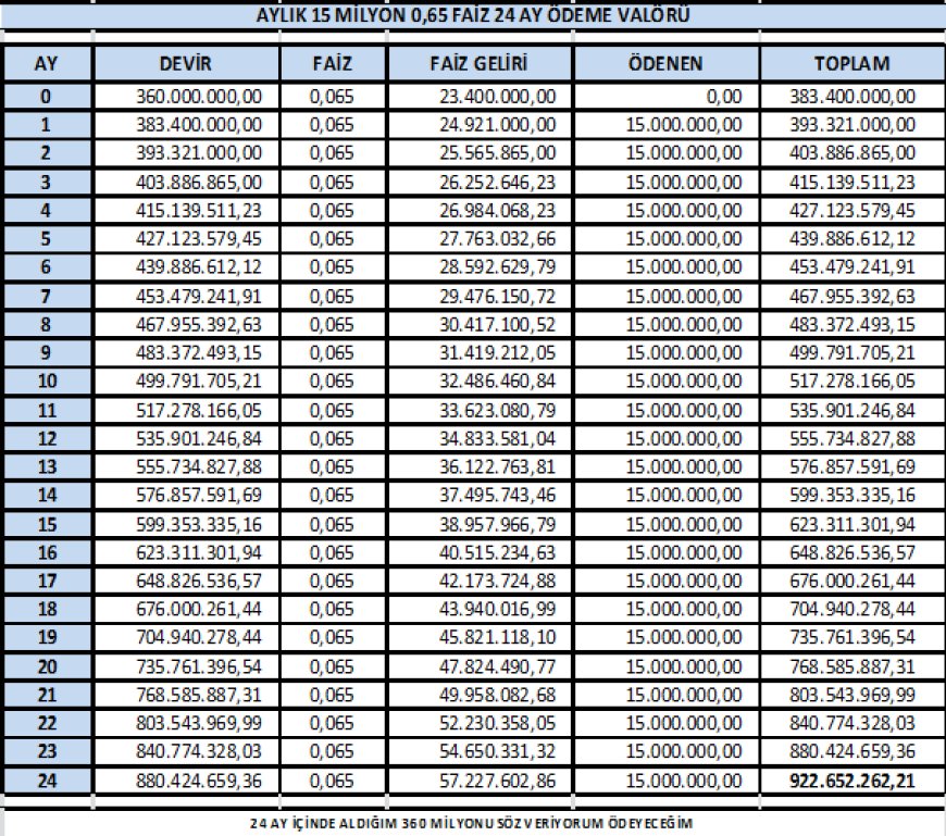
Sizin için bir tablo yaptım, bu tabloda paranın piyasadan nasıl çekildiğini, kapital sahiplerinin piyasadan parayı nasıl hortumladığını görmenizi istiyorum. Ben bir iş adamıyım ve piyasaya 360 Milyon borcum var, bu borcu piyasaya ödemek yerine 0,065 faizle bankaya yatırıyorum ve bir ay sonra aldığım faizi anaparanın üstüne ilave ederek, bir kısmı ile piyasaya olan borcumu faizsiz olarak ödüyorum. Gün sonuna geldiğinde 15 Milyon aylık ödeme yaptığım halde param hiç eksilmediği gibi sürekli artmakta olduğunu görebilirsiniz. 24 Ay sonra 360 Milyon borcumu ödemiş ve 920 Milyon kazanmış oluyorum. Bu tablo, piyasanın zenginler tarafından nasıl sömürüldüğünün tablosudur.
Tüm bunları görünce, AK Partinin kendi zenginleri tarafından yutulduğunu söylemek mümkün! Peki, kapitalistlerin siyaseti yönetmesinin önüne nasıl geçilecek? Cevap, elbette “GENÇLİĞE HİTABE’NİN” içinde saklı fakat hangi gençlik!?. Düştüğümüz bu ahvalin içinden çıkabilmenin yegâne yol haritası, mevcut hükümetin istifası ile mümkün! Peki, hükümeti dahi yöneten kapitalizm buna müsaade eder mi, etmez. Ülkemizin bir krize, milletimizin bir kaosa sürüklenmesini elbette istemeyiz ama herhangi bir iç karışıklıkta vatana kim sahip çıkacak? Ülkemizin sigortası olan ordumuz dahi siyasetin hegemonyası altında, siyasetin kapitalizmin hegemonyası altında, kapitalizmin de siyonizmin hegemonyası altında olduğunu düşünürsek!
Fetö terör örgütünün zengin olanlarının ve siyasette söz sahibi olanlarının arındırılmadığı bir ülkede biz neyi konuşuyoruz Allah aşkına!?. Son vurgun yapılmadan önce acil tedbir alınmalıdır. Devlet memurlarının maşlarının serbest piyasada çalışan işçilerden ve işçi emeklilerinden yüksek olması, devlet eliyle milletin suyunun çıkarılması ve sesinin kesilmesi demektir ve en son devletin te nefesi kesilerek fişi çekecekler. Hoş geldin Kürdistan. Saygı ve Muhabbetlerimle – Ankara
Siyasal Sosyal Sistem Mimarı
Gazeteci Yazar Mustafa ERİKLİ